์ต๊ทผ ๋ค์ด๋ฒ ์ง์์ธ (drkimfixnsolve.tistory.com/184) ์ ๊ฐ๋ณ๋๋ฐฉ ๋๋ฐฉ๋น์ ๊ดํ ์์ฃผ ๊ฐ๋จํ ์ง๋ฌธ ๋๊ฐ๊ฐ ์ฌ๋ผ์์ต๋๋ค. ์ง๋ฌธ์ ๊ฐ๋จํ์ง๋ง ์ ๋ง ์ฐ๋ฆฌ๊ฐ ๊ถ๊ธํด ํ๋ ๋ฌผ์์ด๊ณ ๋ต๋ณ์ ๊ฐ๋จํ์ง ์์ต๋๋ค. ๊ฐ๋จํ ์ง๋ฌธ์ ๊น๊ฒ ๊ณ ๋ฏผํด ๋ณด๊ณ ์ต๋ํ ๊ธธ๊ฒ ๋ต๋ณ์ ๋ฌ์ ๋ณด์์ต๋๋ค. ๊ฒฐ๋ก ์ ๊ฐ๋ณ๋๋ฐฉ๋ ๊ฐํ์ ๋๋ฐฉ์ด ๋ต์ด๋ค์.
๋ค์ด๋ฒ ์ง์์ธ ์ง์์๋ต: ์ง์ญ๋๋ฐฉ ์ํํธ์ ๊ฐ์ค๋ณด์ผ๋ฌ ์ค์น?
์๋๋ ๋ค์ด๋ฒ ์ง์์ธ์ ์ง๋ฌธ์ ๋ต๋ณํ ๋ด์ฉ์ด ๋๊ฒ ์ต๋๋ค. ๋๋ฐฉ์ ๊ณ์ ์ด ๋ค๊ฐ์ค๊ณ ์์ด ๋ค์ด๋ฒ ์ง์์ธ์์ ์ง์ญ๋๋ฐฉ ๊ด๋ จ ์ง์์ ๊ฐ๋ ๋ต๋ณ์ ๋ฌ๊ณ ์์ต๋๋ค. ๋ค์ด๋ฒ ์ง์์ธ ๋ต๋ณ์ ๋ณด์๋ ค๋ฉด
drkimfixnsolve.tistory.com
์ง๋ฌธ: ํฌ๋ฃธ์ด ์๋ฃธ๋ณด๋ค ๋๋ฐฉ๋น ํจ ๋ง์ด ๋์์?
๋ต๋ณ: ๊ฐ๋จํ๋ฉด์๋ ์ฌ๋ฏธ๋ ์ง๋ฌธ์ด๋ค์. ํฌ๋ฃธ์ด ์๋ฃธ๋ณด๋ค ๋๋ฐฉ๋น๊ฐ ํจ์ฌ ๋ง์ด ๋์ค๋๋ ์ง๋ฌธ์ด๋ ๋ต์ ๊ทธ๋ ์ง ์๋ค๊ณ ํด์ผ ํ ๊น ๋ด ๋๋ค.
๋๋ฐฉ๋น๋ ์ง์ ์ผ์ ํ ์จ๋๋ก ์ ์งํ๊ธฐ ์ํ ๋น์ฉ์ ๋๋ค. ์ง์ ์จ๋๋ (๋ค์ด์ค๋ ์ด๋) = (๋๊ฐ๋ ์ด๋) ๋ง์กฑํ ๋ ์ผ์ ํ๊ฒ ์ ์ง ๋ฉ๋๋ค. ์ฆ ๋๋ฐฉ๋น๋ ์ง์์ผ๋ก ๋ค์ด์ค๋ ์ด๋์ ๋น์ฉ์ด๊ธฐ ๋๋ฌธ์.. ์ง ๋ฐ์ผ๋ก ๋๊ฐ๋ ์ด๋์ ๋ฐ๋ผ ๋๋ฐฉ๋น๊ฐ ๋ฌ๋ผ์ง๋๋ค.
์ผ๋ฐ์ ์ผ๋ก ์ค๊ฐ์ธต ์ง์ด 4๋ฉด์ด ๋ชจ๋ ์ธ๋ฒฝ์ ๊ฐ์ง๊ณ ์๋ค๋ฉด ์ด์ด ๋น ์ ธ๋๊ฐ๋ ์ธ๋ฒฝ์ ๋ฉด์ ์ด ์๋ฃธ๊ณผ ํฌ๋ฃธ์ด ๋๋ฐฐ ์ฐจ์ด๊ฐ ๋์ง ์์ต๋๋ค. ๋ชจ์์ ๋ฐ๋ผ ๋ค๋ฅธ๋ฐ.. ์๋ฃธ์ด ์ ์ฌ๊ฐํ ๋ชจ์์ผ ๋ ํฌ๋ฃธ์ 50% ์ ๋ ์ธ๋ฒฝ ๋ฉด์ ์ด ๋ง์ ์ง๋๋ค. ์ฆ 2๋ฐฐ๋ฅผ ํจ์ฌ ๋ง์ ๋๋ฐฉ๋น ๊ธฐ์ค์ด๋ผ๊ณ ํ ๋ 1.5๋ฐฐ ์ ๋ ๋๋ฐฉ๋น๊ฐ ๋ฐ์ํ๋ ํจ์ฌ ๋ง์ด ๋ด๋ ๊ฒ์ ์๋๊ฑฐ์ฃ .
์๋ฃธ ๋ชจ์์ด ์ง์ฌ๊ฐํ์ด๋ฉด ํฌ๋ฃธ์ ์ด๋ป๊ฒ ๋ฐฐ์นํ๋๋์ ๋ฐ๋ผ ์ธ๋ฒฝ ๋ฉด์ ์ด 2๋ฐฐ๊ฐ ๋ ์๋ ์๊ณ ์๋ฃธ๊ณผ ๋์ผํ ์๋ ์์ต๋๋ค. ์ ๊ฐ ํฌ๋ฃธ ์ค๊ณ์๋ผ๋ฉด ๋น์ฐํ ์ธ๋ฒฝ์ ๋ฉด์ ์ด ์ค์ด๋ค๋๋ก ๋ง๋คํ ๋.. ์ฆ ํฌ๋ฃธ๋ ์ข๋ ์ ์ฌ๊ฐํ ํํ๋ก ๋ง๋ค๋ฉด ์ ๋ฆฌํฉ๋๋ค. ๋ฐ๋ผ์ ์ธ๋ฒฝ ๋ฉด์ ์ 50% ์ดํ๋ก ์ฆ๊ฐํ ๊ฒ๋๋ค.
์.. ์ด์ ์๋ฃธ๊ณผ ํฌ๋ฃธ์ ๋ณดํต ์ด์๊ณผ ๋ฒฝ์ ๊ณต์ ํ๊ณ ์์ผ๋ ๋ ธ์ถ๋ ์ธ๋ฒฝ์ด ์ถ์ ๊ตฌ ์ ๋ค ๋๊ฐ์ ๊ฒฝ์ฐ๋ผ๋ฉด ์ญ์ ๋๋ฐฉ๋น๊ฐ ํจ์ฌ ๋์ง๋ ์์ต๋๋ค. ํ๋์ค ์ง ํํ๋ก ๊ธด ์ง์ฌ๊ฐํ ํํ์ด๋ฉด ์๋ฃธ์ด๋ ํฌ๋ฃธ์ด๋ ์ธ๋ฒฝ์ ๋ฉด์ ์ด ๊ฐ์ ๋๋ฐฉ๋น๋ ๋น์ทํด ์ง๋๋ค. ํ๋์ค ์ฌ๋๋ค์ด ๊ทธ๋ ๊ฒ ๊ธธ์ญํ๊ฒ ์ค๊ณํ ์ด์ ๊ฐ ์๋ ๊ฒ์ด์ฃ .
์ด์์ ๊ณ ์ฐฐ์ ๋น๋ผ๋ ์ํํธ์ ์ค๊ฐ์ธต ๊ธฐ์ค์ด๊ณ ์.. ์ต์์ธต์ด๊ฑฐ๋ ์ตํ์ธต์ผ ๋๋ ์, ์๋ ์ธ๋ฒฝ์ ์ฆ๊ฐ๋ก ๋ฉด์ ์ด ์ฆ๊ฐํ ๋ ๋๋ฐฉ๋น ์ฆ๊ฐ๊ฐ ๋ ๊ฐํ๋ฅผ ์ ์์ต๋๋ค. ๊ทธ๋ฌ๋ ์๋ฃธ์์ ํฌ๋ฃธ ํ๋์ ๊ณต์ ๋ฉด์ ์ด ์๊ธฐ ๋๋ฌธ์ ํ์คํ 2๋ฐฐ๋ณด๋ค๋ ์์ต๋๋ค.
๋ฐ๋ผ์ ๋ณธ๋ ์ง๋ฌธ์ ํจ์ฌ ๋ง์ด ๋์ค๋์ ๋ต์ 2๋ฐฐ ์ดํ์ด๊ธฐ ๋๋ฌธ์ ์๋๋ค๊ฐ ๋ง์ ๊ฒ ๊ฐ์ต๋๋ค. ์ฆ ๋๋ฐฉ๋น๋ ๋ฉด์ ์ ๋น๋กํ์ง ์๋๋ค๊ฐ ๋ต์ด๋ผ๊ณ ์๊ฐํฉ๋๋ค.
๋ค๋ง ์ง์์ ๋ฌผ๊ฑด์ด ๊ฝ ์ฐจ ์๊ณ ์ผ์ ์จ๋ ์ ์ง๊ฐ ์๋๊ณ ์ฐจ๊ฐ๊ฒ ์์๋ค๊ฐ ๋ค์ 20๋๋ก ๋ฅํ๋ ๋ฌธ์ ๋ผ๋ฉด ๋ถํผ๊ฐ ๋๋ฐฐ ์ฆ๊ฐํ๊ณ ์ด์ฉ๋์ด ๋๋ฐฐ๋ก ์ฆ๊ฐํด์ ๋๋ฐฉ๋น๋ ๋๋ฐฐ๋ก ๊ทผ์ ํ ๊ฒ๋๋ค. ๋ฐ๋ผ์ ์จ๋๊ฐ ์ต๋ํ ์ ๋จ์ด์ง๊ฒ ๋ฌธ์ ๊ผญ ๋ซ์๋๊ณ ๋จ์ด๋ ๋ณด๊ฐํ๋ฉด ๋์์ด ๋ฉ๋๋ค.
์ง๋ฌธ: ์ฝ 7ํ ์ ๋์ ์๋ฃธ์์ ๊ฑฐ์ฃผ์ค์ด๋ฉฐ
์ง์์์๋ ๋๋ฐฉ์ ๊ฐ๋ํ๊ณ ๋๊ฐ๋ ๊ผญ ์ธ์ถ๋ชจ๋ ํด๋๊ณ ๋๊ฐ๋๋ฐ ๋งค๋ฌ ๋๋ต 7๋ง์์ ๋ ๋์์ด์
์ฌํด๋ ์ด๋ป๊ฒ ํด์ผํ๋ ๊ณ ๋ฏผ์ธ๋ฐ
๊ทธ๋ฅ ์ ์ ์จ๋๋ก ํ๋ก ๋๋ฐฉ ํธ๋๊ฒ ์จ๋์ ์ง๊ฐ ๋์
์ ์ฝ์ ์ธ๊ฐ์ ์๋๋ฉด ์ ์ฒ๋ผ ์ธ์ถ์ ์ธ์ถ๋ชจ๋๋ก ํ๊ณ ๋๊ฐ๋๊ฒ ์ข์๊ฐ์
๋๋ฐฉ์ ๋ฆฐ๋์ด๊บผ ์ฐ๊ณ ์์ต๋๋ค
๋ต๋ณ: ๋งค์ฐ ์ด๋ ค์ด ์ง๋ฌธ์ ๋๋ค. ๊ฐ๋ณ๋๋ฐฉํ์๋ ๋ถ๋ค์ ๊ถ๊ทน์ ์ง๋ฌธ์ผ ์๋ ์์ต๋๋ค. ์ ์ ๋ค๋ฅธ ์ง์์ธ ๋ต๋ณ์ ์ฐธ๊ณ ํ์๋ฉด ์กฐ๊ธ ๋์์ด ๋๋๋ฐ.. ์ผ๋จ 24์๊ฐ ๋์์ ๋๋ฐฉ๋น๋ฅผ ์ ์ํด ๋ณด๊ฒ ์ต๋๋ค.
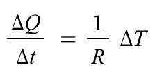
1. ์ฐ์๋๋ฐฉ ๋๋ฐฉ๋น: ์ผ์ ํ ์จ๋๋ฅผ ๊ณ์ ์ ์งํ๊ธฐ ์ํ ๋๋ฐฉ๋น์ ๋๋ค. ์ผ์ ํ ์จ๋๋ฅผ ์ ์งํ๊ธฐ ์ํด์๋ (์ง์์ ๋ค์ด์ค๋ ์ด๋) = (์ง ๋ฐ์ผ๋ก ๋๊ฐ๋ ์ด๋) ์ ์กฐ๊ฑด์ ๋ง์กฑํด์ผ ํฉ๋๋ค. ๋ฐ๋ผ์ ์ง๋ฐ์ผ๋ก ๋๊ฐ๋ ์ด๋์ ์๋ฉด ํ๋ฃจ ์ข ์ผ ๋ฉ๋ถํด์ผ ํ๋ ๋๋ฐฉ๋น๋ฅผ ๊ณ์ฐํ ์ ์์ต๋๋ค. ์ง์ ์จ๋์ ์ง๋ฐ ์จ๋์ ๋ฐ๋ผ ๋จ์์๊ฐ๋น ํ๋ฅด๋ ์ด๋์ ์จ๋์ฐจ์ ๋น๋กํ๊ณ ์ด๋ ๋น๋ก ์์๋ 1/์ด์ ํญ ์ ๋๋ค. ์ฆ

์ด์ ํญ์ ๋จ์ด์ํ์ ๋ฐ๋ผ ๋ค๋ฅธ๋ฐ.. ๋ณดํต ์ผ์ ํ๋ค๊ณ ๋ณด๋ฉด ๋ ๊ฒ ๊ฐ์ต๋๋ค. ๋จ์ด์ด ์ ๋ ์ง์ ์ด์ ํญ์ด ๋๊ณ ๋ฐ๋ผ์ ์จ๋์ฐจ๊ฐ ์ปค๋ ์ด๋์ด ๋ง์ด ๋น ์ ธ ๋๊ฐ์ง ์์ต๋๋ค. ๋จ์ด์ด ์๋ ์ง์ ์ด์ ํญ์ด ๋ฎ๊ณ ๋ฐ๋ผ์ ์์ ์จ๋์ฐจ์๋ ์ด๋์ด ๋ง์ด ๋น ์ ธ ๋๊ฐ๋๋ค.
๋ฐ๋ผ์ ํ๋ฃจ ์ข ์ผ ๋น ์ ธ ๋๊ฐ๋ ์ด์ด๋ Q, ์ฆ ๋๋ฐฉ๋น๋ Q(์ฐ์ 24์๊ฐ) = ์จ๋์ฐจ x ์๊ฐ / ์ด์ ํญ ์ ๋๋ค. ์จ๋์ฐจ๊ฐ ์๊ฐ์ ๋ฐ๋ผ ๋ณํ๋ค๋ฉด ์ ์์ ์ ๋ถ์์ผ๋ก ๋ฐ๊พธ๋ฉด ๋ฉ๋๋ค.
2. ๊ฐํ๋๋ฐฉ ๋๋ฐฉ๋น: ์ด์ ์ธ์ถํ ๋ ๋๋ฐฉ์ ๋๊ณ , ์ง์ ์์ ๋ ๋๋ฐฉ์ ํค๋ ์ํฉ์์ ๋๋ฐฉ๋น๋ฅผ ๊ณ์ฐํด ๋ณด๊ฒ ์ต๋๋ค. ํธ์์ ์ธ์ถ์ 12์๊ฐ, ์ง์์ 12์๊ฐ ๋จธ๋ฌด๋ฅด๋ ๊ฒฝ์ฐ๋ฅผ ๊ฐ์ ํ๊ฒ ์ต๋๋ค.
- ์ธ์ถ์๊ฐ ๋์ ์ด๋์ด ๊ณ์ ๋น ์ ธ ๋๊ฐํ ๋ Q(์ธ์ถ) = ์จ๋์ฐจ x ์๊ฐ / ์ด์ ํญ. ๋ค๋ง ์ด๊ฒฝ์ฐ ์ง์ ์จ๋๊ฐ ๊ณ์ ๋จ์ด์ง๊ธฐ ๋๋ฌธ์ ์จ๋์ฐจ๊ฐ ์ฐ์๋๋ฐฉํ ๋ ๋ณด๋ค ์๋ค๊ณ ๋ณผ ์ ์์ต๋๋ค. ๋ฐ๋ผ์ Q(์ธ์ถ 12์๊ฐ) < Q(์ฐ์ 12์๊ฐ) ๊ด๊ณ๊ฐ ์ฑ๋ฆฝํฉ๋๋ค.
- ์ง์ ๋์ ์์ ๋ ์ง์ ์จ๋๋ฅผ ๋ค์ ๋ฅํ์ผ ํ๋ ๋ฎ์ ๋น ์ ธ ๋๊ฐ ์ด๋ ๋งํผ ๋ค์ ์ด๋์ ๊ณต๊ธํด์ผ ํฉ๋๋ค. Q(์ธ์ถ 12์๊ฐ)์ด ํ์ํ๊ณ ๋จ์ 12์๊ฐ ๋์ ์ญ์ ์ผ์ ์จ๋๋ฅผ ์ ์งํ๊ธฐ ์ํด ์ฐ์๋๋ฐฉ์ ํด๋นํ๋ ์ด๋ Q(์ฐ์ 12์๊ฐ)์ ๊ณต๊ธํด์ผ ํฉ๋๋ค.
์ฆ ๋๋ฐฉ๋น Q(๊ฐํ 24์๊ฐ) = Q(์ธ์ถ 12์๊ฐ) + Q(์ฐ์ 12์๊ฐ) < Q(์ฐ์ 24์๊ฐ)
์ด์์ ๊ณ ์ฐฐ์ ๋ณผ ๋ ๋ฐ์ ๋๊ฐ๋ ๋ฌด์กฐ๊ฑด ๋๊ณ ๋๊ฐ๋ ๊ฒ์ด ์ ๋ฆฌํ๋ค์. ์จ๋๋ฅผ ์ฌ๋ฆฌ๊ณ ๋ด๋ฆด ๋ ์์ฐจ๊ฐ ์๊ธฐ ๋๋ฌธ์ ์ด์์ค์ด ๋ ์๊ธฐ ๋๋ฌธ์ผ๋ก ๋ณด์ ๋๋ค.
์ด๋ก ์ ์ผ๋ก๋ ๊ทธ๋ฌํ๋ฐ.. ์ค์ ๋ก๋ ์ง์์ ๋ค์ ๋ฅํ ๋ overheating์ด ๋ฐ์ํด์ ์ํด๋ฅผ ๋ณผ ์ ์์ ๊ฒ ๊ฐ์ต๋๋ค. ์ง์ ๋์ ์์ ๋ ์ถฅ๋ค๊ณ ๋ฐฉ๋ฐ๋ฅ์ ์ฉ์ฉ ๋๊ฒ ํ๋ฉด ์จ๋๊ฐ ๋ชฉํ ์จ๋๋ณด๋ค ๋๋ฌด ์ฌ๋ผ๊ฐ์ ์ด๋์ ๋ญ๋น๊ฐ ์ฌํด์ง ์ ์์ต๋๋ค. ์ฐธ์์ฑ๋ง ์กฐ๊ธ ๊ธฐ๋ฅด๋ฉด ๋ฌผ๋ฆฌํ์ ์๋์ง ๋ณด์กด ๋ฒ์น์ ๋ฐ๋ผ ๊ฐํ ๋๋ฐฉ์ด ๋๋ฐฉ๋น์ ์ ๋ฆฌํด ๋ณด์ ๋๋ค.
์ด์ ์ฐธ๊ณ ํ์ ์ ํ๋ช ํ๊ฒ ๊ฐํ์ ์ผ๋ก ๋๋ฐฉ์ ํด ๋ณด์๊ธฐ ๋ฐ๋๋๋ค.
์ด๋ป๊ฒ ์ฝ์ผ์ จ๋์? ๊ฐ๋จํ ์ง๋ฌธ์ ๋ต๋ณ์ ๊ณ ๋ฏผํ๋ค ๋นจ๋ ค ๋ค์ด๊ฐ์.. ์ฝ๊ฐ ํํ์ ์ด๊ธด ํ์ง๋ง ๋๋ฆ ๊น์ ๋ฉ์ธ์ง๊ฐ ์์ต๋๋ค. ์๋์ง๋ณด์กด๋ฒ์น์ ์ํ๋ฉด ๋ฌด์กฐ๊ฑด ์ธ์ถ๋ชจ๋๊ฐ ๋๋ฐฉ๋น์ ์ ๋ฆฌํ๊ฒ ์๋ํฉ๋๋ค. ๊ฐ๋ณ๋๋ฐฉ์ด๋ ์ง์ญ๋๋ฐฉ์ด๋ ๋ง์ฐฌ๊ฐ์ง ์ ๋๋ค.
์ ์ง์ญ๋๋ฐฉ์ ์ฐ์๋๋ฐฉ์ ํด์ผ ํ๋ค๊ณ ๊ต์กํ๊ณ ์๋๋๊ฐ ์ฝ๋ฉ๋๋ค์. ๋๋ฐฉ๋น ํญํ์ด ๋์ค๋๋ก ์คํ ์์คํ ์ผ๋ก ์ค๊ณํด ๋๊ณ ๊ณ๋๊ธฐ๊ฐ ์ ๋๋ก ์ ํํ๊ฒ ์ฌ์ฉํ ์ด๋์ ๊ณ๋ํ์ง ๋ชปํ๋ ์ํํธ๋จ์ ๋๋ฐฉ๋น ์ ๋ก์ธ ๊ฒ์์ผ๋ก ์ฑ ์ํํผํ๊ณ ์ฐ์๋๋ฐฉํ๋ผ๊ณ ๊ต์กํ๊ณ ์๋ ๊ฒ์ ๋๋ค. ์ ๊ธฐ์ฒ๋ผ ์ ํํ๊ฒ ๊ณ๋ํ ์ ์์ผ๋ฉด ๋น์ฐํ ์ธ์ถ์ ๊บผ ๋๊ณ ๋๊ฐ๋ผ๊ณ ํ๋ ๊ฒ ๋ง์ต๋๋ค. ๊ฒฐ๊ตญ ์ ํํ ๊ณ๋์ ์๋ฌด๋ ๊ฒํ๋ฆฌํ ์ฑ ๋ฌผ๋ฆฌํ์ ์ฌ์คํ ์๋ฆฌ์ธ ์๋์ง ๋ณด์กด๋ฒ์น์ ์ด๊ธ๋๋ "์ฐ์๋๋ฐฉํด์ผ ๋๋ฐฉ๋น๋ฅผ ์ ์ฝํ ์ ์๋ค"๋ ์ผํ ๋นํ ๋๋ฐฉ ์ฌ์ฉ๋ฒ์ ๊ต์กํ๊ณ ์๋ ์ํฉ์ ๋๋ค. ๋๋ถ๋ถ์ ๊ธฐ๋ณธ ๋ฌผ๋ฆฌ ๊ณต๋ถ๋ฅผ ํ ์๋ฏผ๋ค์ด ์ง์ญ๋๋ฐฉ์ ํท๊ฐ๋ ค ํ๋ ๊ฑด ๋น์ฐํ ๊ฒ ๊ฐ์ต๋๋ค.
์ฐธ ํ์ฌํ ์ํฉ์ด๋ค์. ๋นจ๋ฆฌ ์ง์ญ๋๋ฐฉ๊ณต์ฌ๋ , ์ ๋ถ๋ , ์ง์์ฒด๋ ๊ฐ์ฑํด์ ๋ฌธ์ ๋ฅผ ํด๊ฒฐํด ์ฃผ์ ์ผ ํ ๊ฒ ๊ฐ์ต๋๋ค.
(2021/1/4) ์ด๋ฒ ์ฃผ ์ต๊ฐํํ๊ฐ ์ฐพ์์จ๋ค๊ณ ํฉ๋๋ค. ์ง๊ธ๋ ์ํ 10๋์ ๋๋ค. ์ด๋ ๊ฒ ์ธ๋ถ๊ธฐ์จ์ด ๊ธ๊ฒฉํ๊ฒ ๋จ์ด์ง๋ฉด ๋๊ฐ๋ ์ด๋์ ๊ธ๊ฒฉํ๊ฒ ๋์ด๋ฉ๋๋ค. ์์ ์์ฒ๋ผ ์จ๋์ฐจ์ ๋น๋กํด์ ๋๊ฐ๋ ์ด์ด ๋ง์ ์ง๋๋ค. ๋ฐ๋ผ์ ์ค๋ด์จ๋๋ฅผ ์ผ์ ํ๊ฒ ์ ์งํ๊ธฐ ์ํด์๋ ๋ค์ด์ค๋ ์ด๋๋ ๋๋ ค์ผ ํฉ๋๋ค. ๋ค์ ์์ ์ฐธ๊ณ ํด์ ๊ฐํ์ ๋๋ฐฉ์์๋ ์ด๋์ ๋๋ ค๋ณด์ธ์. youtu.be/z4KQaM0pWkA
๋งค๋ ์ต๊ฐํํ๋ ํ๋๋ฒ์ ์ฐพ์ ์ต๋๋ค. ์ถ์์ ๋จ์ง๋ง์๊ณ , ๋๋ฐฉ๋น์ ๋๋ ค์ ๋ง์๊ณ ๊ณผ๊ฐํ๊ฒ ๋๋ฐฉ ์ด๋์ ๋๋ ค ํํ๋ฅผ ์ด๊ฒจ๋ณด์๊ธฐ ๋ฐ๋๋๋ค.